Mobility is defined as the ability to move freely and easily. After the initial magical moments when we take our first steps and until we begin to lose this mobility under the insidious burden of chronic disease, this mobility is mostly taken for granted. However, it is the hallmark of our humanity, evolutionarily and developmentally. Evolutionary, the transition to bipedal mobility has enabled humans to assume the dominant position on Earth. As Charles Darwin stated, “man alone has become a bipedal and we can, I think, partly see how he has come to assume his erect attitude, which forms one of his most conspicuous characters. Man cannot have attained the dominant position in the world without the use of his hands, which are so admirably adapted to act in the obedience to his will.” Apes spend four times more energy to walk (on either two or four limbs) a given distance than humans. These energy savings free us to travel to new places, to explore, and take up new practices. On an individual level, locomotion takes more than a year of growth and training to perfect. Nevertheless, despite the trials and errors associated with the process, most of us (barring injury or disease) learn this skill and are able to ambulate. It is largely a pre-programmed event in our early development. It enables us to leave our mother’s immediate influence and forge our own identity. It transforms our relationship with our surroundings and other people and is considered our psychological birth.
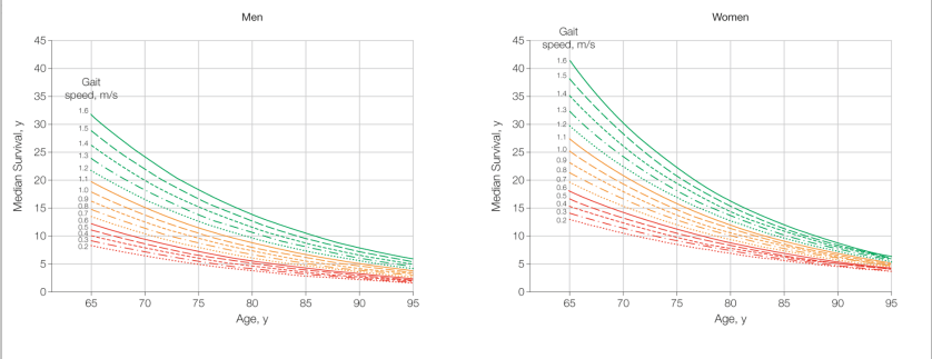
Interestingly, balance and natural walking speed (gait speed) are some of the most accurate predictors of morbidity and mortality. In a JAMA study, gait speeds of 1.0 m/s or higher consistently demonstrated survival that was longer than expected by age and sex alone.The paper hypothesizes that walking requires energy, movement control, and support and places demands on multiple organ systems, including the heart, lungs, circulatory, nervous, and musculoskeletal systems. A slowing gait may reflect damaged systems that cannot maintain the energy demands of walking. Relatedly, all the neurological, vestibular, visual, and somatosensory systems decline as we age cause diminishing balance. As our balance wea
kens, we compensate by widening our stance to provide a more stable platform but this in turn, makes walking and running more inefficient, energy costly, and subsequently slower. Diminishing gait speed and balance work hand in hand with sarcopenia – the loss of muscle and strength. We begin to lose muscle mass gradually at around age forty, and as we continue to age the rate of loss increases. Between the ages of fifty and seventy, we lose about 15 percent of our lean muscle per decade and after that, it jumps to 30 percent per decade. However, the aging process only accounts for 30-40% of the declines in strength, whereas the majority of this decrease can be explained by a reduction in activity, nutritional deficiencies, and chronic diseases. Although physical inactivity is associated with decreased muscle strength and also increased mortality, it is a modifiable risk factor. The trajectory of m
uscle loss can be largely mitigated by physical exercise. A comprehensive training regimen that focuses on cardiovascular fitness, strength training, flexibility, and neuromotor exercise training will decrease the rate of decline in balance, flexibility, functional strength, and balance.
Walking is metabolically costly and requires coordination from various body systems ranging from the musculoskeletal and nervous system to the circulatory and endocrine system. Infants spend two or more years through an intensive trial and error process to learn how to walk. Despite the high costs, the vast majority succeed to become proficient walkers and is the landmark developmental milestone of infancy. If viewed through the prism of evolution, the high metabolic investment has yielded impressive returns as mobility and bipedalism has played an outsized role in the expansion of our species from a middling species to the dominant position in the world. However, due to this high metabolic cost, the decline in mobility can also strategically be utilized as proxy for a pathological decline in various body systems and a predictor of morbidity and mortality. Training regimens can and should be developed to decrease the rate of decline in gait speed, balance, and functional strength.

Discover more from S-Fxn
Subscribe to get the latest posts sent to your email.
I wonder if cities that are considered more walkable have significantly decreased mortality when accounting for increased mobility.
Interesting point…I’m not aware of any epidemiological studies. However in one study….
If people in urban England and Wales cycled and walked as much as people do in Copenhagen, the NHS could save around £17 billion within twenty years. Decrease road deaths by 30%, save 400 productive life years (due to improvements in air pollution)
How can a woman walk 1 meter in 1 second? Not possible for an average 5’4″ woman/
1 meter per second = 2.24 miles per hour
I can see when I drive into walkable city neighborhoods the woman are thinner. So, they get more exercise and walk more. But in the city more women smoke. So, that would offset the benefits of more walking .